1、流量系數的定義
控制閥流通能力是指特定流體在特定溫度下,當閥兩端為單位壓差時,單位時間內流經控制閥的流體體積數,采用不同單位制時有不同表達方式。
①流量系數C的定義
給定行程下,溫度為5-40℃的水, 閥兩端壓差為1kgf/cm2時,每小時流經調節閥的體積(以m3表示)。C是流量系數的通用 符,我國過去曾長期使用,以前稱流通能力C。
②流量系數Kv的定義
給定行程下,閥兩端壓差為102kPa時,溫度為5-40℃的水,每小時流經調節閥的體積(以m3表示)。Kv是國際單位制流量系數。
③流量系數Cv的定義
給定行程下,閥兩端壓差為1lb/in2時,溫度為60℉的水,每分鐘流經調節閥的體積(以美國加侖U.S gal表示)。Cv是英制流量系數。
2、不同單位制公式推導
①流通能力C計算公式及單位

當γ/γ0=1,Q=1m3/h,△P=1kgf/cm2時,如C定義為1,則N=1。則流通能力C的公式及單位如下:

公式中C為流通能力;Q單位為m3/h;γ/γ0為比重;△P單位為kgf/cm2。
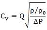
②流量系數Cv計算公式及單位

當ρ/ρ0=1,Q=1USgal/min,△P=1lb/in2,如定義Cv=1,則N=1。則流量系數Cv的公式及單位如下:

其中Cv為流量系數;Q單位為USgal/min;ρ/ρ0為比密度;△P單位為lb/in2。
③流量系數Kv計算公式及單位

當ρ/ρ0=1,Q=1m3/h,△P=100kPa時,若Kv=1,則N=0.1。則流量系數Kv的公式及單位如下:

其中Kv為流量系數;Q單位為m3/h;ρ/ρ0為比密度;△P單位為kPa。
3、流通能力C、流量系數Kv、流量系數Cv的換算
①流量系數Cv與流通能力C的關系
從
式中知:Q單位為USgal/min;ρ/ρ0為比密度;△P單位為lb/in2。當C=1時,Q=1m3/h,γ/γ0=1(即ρ/ρ0=1),△P=1kgf/cm2時,用C=1的條件代入Cv計算公式則為:

從計算結果得知:C=1與Cv=1.167是等值的(即Cv=1.167C)。
②Cv與Kv的換算
當Kv=1時,Q=1m3/h,ρ/ρ0=1,△P=100kPa代入Cv計算公式,進行單位換算:

即Kv=1與Cv=1.156是等值的(即Cv=1.156Kv)。
由于有些資料和樣本中對控制閥流通能力C、流量系數Kv和流量系統Cv三者缺少推導過程,使用中容易產生混淆。昌暉儀表對C、Kv、Cv從定義、單位應用及三者的關系方面予以澄清,幫助工程設計人員在調節閥選型計算過程中,對不同表達方式流量系數(C、Kv、Cv)進行換算和比較,便于進行調節閥的比選。
作者:孫魯
